甲醇的氧化是电催化领域的一个重要模型反应。弄清甲醇氧化反应机理及影响其反应动力学的关键因素,理解电催化剂的结构与组成是如何影响其各反应路径及相关动力学等问题是理性设计甲醇氧化电催化剂的科学基础,也是提高直接甲醇燃料电池的能量效率的关键所在,这方面的研究也能帮助人们从分子水平上理解电催化的本质。本小组利用电化学原位红外光谱技术系统地研究了甲醇及其氧化中间物如CO、甲酸等在Pt基催化剂上的反应机理与动力学行为。
width=400 height=300 _fcksavedurl="/webpic/W0201406/W020140627/W020140627376765288390.png" oldSRC=/_upload/article/279/00/35/53561d534fcf95386237c2547efb/W020140627376765288390.png>>
●由于反应体系的复杂性,我们的策略是先研究其稳定中间产物如CO,HCOOH,HCHO的氧化机理与动力学行为

●利用电化学与谱学连用技术系统地研究了Pt基电极上CO的三种脱附机理:热脱附,吸附驱动脱附,氧化脱附
●首次获得吸/脱附、氧化速率常数、吸附能、活化能等动力学参数及其随电势的变化率,揭示了各机制对去毒化的作用
●Phys. Chem. Chem. Phys., 2010, 12, 10888
●J. Phys. Chem. C, 2010, 114, 403
●J. Phys. Chem. C, 2009, 113, 20152
●J. Phys. Chem. C, 2009, 113, 17518
●J. Phys. Chem. C, 2009, 113, 10326
●J. Phys. Chem. C, 2007, 111, 435
●ChemPhysChem, 2007, 8, 2484
●Electrochmica Acta, 2007, 53,1279
●Electrochmica Acta, 2007, 52,5634

●Parsons et al., J. Electroanal. Chem. 1973, 44, 1
●Osawa et al., Angewa. Chem., Int. Eds. 2005, 44, 5694, 2010,49,1,
●JPCB,2006,110,16559, 11912
●Chen et al., Angewa. Chem., Int. Eds. 2006, 45, 981,
● Langmuir, 2006, 22, 10399,
●J. Phys. Chem. B, 2006, 110, 9534.
●ChemPhysChem, 2007, 8, 380

●Cuesta&Osawa, ACS Catal. 2012, 2, 728

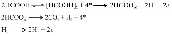
●Formate adsorption/desorption is just an individual process which occurs in parallel with HCOOH oxidation.
●HCOOad limits the surface sites for HCOOH oxidation.
●Phys. Chem. Chem. Phys., 2013, 15 (12), 4367

●Chen et al., 2006. Bridge-bonded formate: Active intermediate or spectator species in formic acid oxidation on a Pt film electrode Langmuir 22: 10399-408.
●Osawa et al., 2011. The Role of Bridge-Bonded Adsorbed Formate in the Electrocatalytic Oxidation of Formic Acid on Platinum Angewandte Chemie-International Edition 50: 1159-63.

●在1D Pt 原子列上,CO途径不工作,电极未出现毒化现象
●甲酸能在1D Pt 原子列上氧化, 直接途径反应电流正比于台阶密度

●直接途径以此机理进行的可能性很小

●ChemPhysChem, 2007,8,380
●Phys. Chem. Chem. Phys., 2013, 15, 4625
●Phys. Chem. Chem. Phys., 2013, 15 , 4367
●Chinese Journal Of Chemical Physics, 2014, 16, 191, 2013, 26, 321, 2013, 26, 471
●J. Phys. Chem. C, 2014,118,6335


●直接途径、间接途径对甲醇完全氧化为CO2的贡献,电极电势的影响
●电催化剂的电子、几何结构如何影响其动力学
●Phys. Chem. Chem. Phys., 2011, 13, 9725,
●J. Electroanal. Chem., 2011, 650, 233.
●Chinese Journal Of Chemical Physics, accepted